Ćwiczenie
Konstruowanie cząsteczek
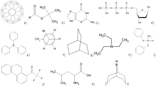
Po zapoznaniu się z możliwościami programu GaussView, Molekel, ArgusLab, Gabedit lub HyperChem narysuj:
- odpowiednie cząsteczki na podstawie poniższych wzorów. Spróbuj pozmieniać kąty i długości wiązań w cząsteczkach tak, aby odpowiadały wzorom strukturalnym.

- ludzki hormon bradykininę, który jest odpowiedzialny za zmniejszanie ciśnienie krwi: Arg-Pro-Pro-Gly-Phe--Ser-Pro-Phe-Arg.
- skonstruuj wszystkie kodony glicyny: GGA, GGC, GGG.
- Dla wybranej cząsteczki z zadania pierwszego zmień: długość wiązania, wybrany kąt, oraz kąt dwuścienny.








