Ćwiczenie
Analiza struktury i trwałości karbokationów metodą ab initio
Karbokation to kation z ładunkiem dodatnim zlokalizowanym na atomie węgla. Atom węgla, na którym zlokalizowany jest ładunek dodatni, posiada tylko 6 elektronów i jest bardzo reaktywny - chętnie przyłączy anion (gdyż anion posiada dwa elektrony konieczne do utworzenia oktetu elektronowego). Stabilność karbokationu zależy od rzędowości atomu węgla - im wyższa, tym bardziej trwały karbokation. Szczególnie trwałe są kationy allilowe (H2=CH-CH2+) i benzylowe (C6H5-CH2+), gdyż są dodatkowo stabilizowane przez rezonans wiązań wielokrotnych. Karbokationy powstają jako produkty pośrednie w wielu reakcjach chemicznych. Od ich trwałości zależy przebieg reakcji chemicznej i struktura powstałych produktów.
Ćwiczenie A
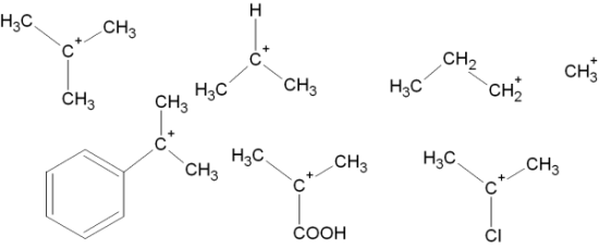
Uszereguj karbokationy ze względu na reaktywność na podstawie obliczenia energii reakcji addycji karbokationu do jonu chlorkowego: R+ + Cl- -> R-Cl przedstawione poniżej na schemacie karbokationy:

Do obliczenia energii reakcji zastosuj następującą zależność:
dletaEreakcji = deltaER+ + deltaECl- - deltaER-Cl
Otrzymane wyniki porównaj z wartościami empirycznymi oraz z trwałością karbokationów przedstawionych w książkach do chemii organicznej.
Ćwiczenie B
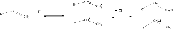
Na podstawie obliczenia energii poszczególnych produktu przejściowego addycji chlorowodoru do propenu wybierz odpowiedni produkt reakcji. Reakcja addycji do wiązania podwójnego biegnie poprzez powstawanie karbokationów.

możliwe produkty pośrednie
Określ różnice energii pomiędzy dwoma możliwymi karbokationami w tej reakcji. Porównaj otrzymany wynik z regułą Markownikowa z 1869. *Wytłumacz regułę Zajcewa sformułowaną w 1875 roku.








