Projekt -Praktyczna Szkoła Modelowania I
Badanie oddziaływań w dimerach
Prowadzący: Marek Doskocz
Poziom trudności: Średni- zaawansowany
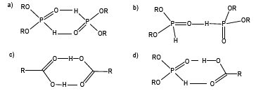
Badania spektroskopowe NMR i IR dowodzą, że H-fosfoniany mogą w roztworze tworzyć formy dimeryczne, podobne jak dimery kwasów karboksylowych. Na podstawie drgań P-H oraz P=O techniką IR zostały zaproponowane przez autorów[1-4] następujące struktury dimeru.

Autorzy założyli, że podstawowym oddziaływaniem występującym w badanym układzie jest wiązanie wodorowe P-H···O=P. Także Steca w swojej pracy postuluje podobnego oddziaływanie międzycząsteczkowe w mieszaninie azeotropowej H-fosfonianu dimetylowego z kwasem octowym (1:1). Proponowane struktury nigdy nie były korelowane z badaniami teoretycznymi. Oprócz tych oddziaływań w danym układzie możliwe jest występowanie dodatkowych słabych oddziaływań typu C-H・・・O=P trudnych do wykrycia metodami spektroskopowymi. Celem podjętym pracy jest optymalizacja różnych dimerów, obliczenie energii oraz sposobu oddziaływania.

Schemat pracy
Schemat pracy:
- Zapoznanie się ze zgromadzoną literaturą
- Zaproponowanie różnych dimerów
- Optymalizacja dimerów
- Opracowanie danych i przygotowanie publikacji w języku angielskim
Cel: rozszerzenie wiedzy, przy ciężkiej pracy publikacja w renomowanym czasopiśmie
Fragment literatury:
[1] Aschmann, S. M.; Tuazon, E. C.; Atkinson, R., Atmospheric Chemistry of Dimethyl Phosphonate, Dimethyl Methylphosphonate, and Dimethyl Ethylphosphonate. J. Chem. Phys.A. 2005, 109, 11828-11836.
[2]Ferraro, J. R., Solvent Effects on the Infrared Spectra of Organophosphorus Compounds. Applied Spectroscopy 1963, 17, 12-14.
[3] David, J. G.; Hallam, H. E., Infrared Solvent Shifts and Molecular Interactions. Part 1X.l P-H and P=O Dipoles and the Hydrogen-bonding Ability of the P-H Group. Inorg. Phys. Theor. J. Chem. Soc (A) 1966, 1103-1106.
[4] Bellamy, L. J.; Conduit, C. P.; Pace, R. J.; Williams, R. L., Infra-red spectra and solvent effects. Part 5.—Solvent effects on XO dipoles and on rotational isomers. Trans. Faraday Soc. 1959, 1677-1683.
[5] Bellamy, L. J.; Beecher, L., The Infra-Ted Spectra of Some Organo-phosphorus Esters. J. Chem. Soc. 1952, 475-483.
[6] Stec, W. J.; Wazer, J. R. V.; Goddard, N., Influence of Protonic Solvents on Spin-Spin Coupling involving Phosphorus directly Bonded to Hydrogen, Fluorine, or Another
[7] Phosphorus Atom in Phosphoryl and Thiophosphoryl Molecules. J. Chem. Soc. Perkin Trans. 2 1972, 463-468.
[8] Rozprawa doktorska, Marka Doskocza








