Ćwiczenie
Przestrzenna budowa związków organicznych
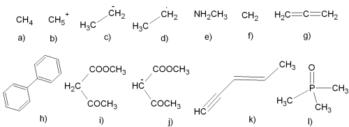
Cząsteczki związków chemicznych charakteryzują się pewną budową przestrzenną, od tej budowy zależą właściwości chemiczne i fizyczne związków. W chemii organicznej podstawowym elementem cząsteczek jest atom węgla, który może występować w hybrydyzacji sp3, sp2, sp każda z tych hybrydyzacji cechuje się odpowiednią geometrią.

- Po wybraniu pięciu cząsteczek i po zoptymalizowaniu metodą Hartree Focka (HF) proszę określić strukturę przestrzenną.
- Określić na podstawie geometrii hybrydyzację poszczególnych atomów. Dla jednego przykładu pokazać drogę optymalizacji. Przygotowując obliczenia, proszę zwrócić uwagę na ładunek i multipletowość.
Kation CH5+ powstaje w fazie gazowej po przyłączeniu H+ i jest jednym z najsilniejszych -superkwasów znanych w chemii. Więcej informacji można znaleźć w artykułach: D. Marx and M. Parrinello, CH5+- The Cheshire Cat Smiles, Science 284, 59-60 (1999), D. Marx and A. Savin, Topological Bifurcation Analysis: Electronic Structure of CH5+, Angew. Chem. Int. Ed. Engl. 36, 2077-2080 (1997) oraz na stronach www: http://www.theochem.ruhr-uni-bochum.de/research/marx/topic4b.en.html.








